KNOWLEDGE
浙江中耐泵業有限公司
客服:0577-66998225
傳真:0577-66998228
地址:浙江省永嘉縣甌北鎮三橋工業區
泵的知識
水泵的吸水性能
時間:2016-5-3 9:47:32來源:m.jdzjsn.com作者:中耐泵業
水泵的吸水性能
1、允許吸上真空高度Hs
為保證水泵不發生汽蝕,在水泵進口處所允許的大真空值,以米水柱表示。Hs是表示離心泵和臥式混流泵吸水性能的一種方式。泵類產品樣本中,用Q~Hs曲線來表示水泵的吸水性能。
2、汽蝕余量(NPSH)
(1)汽蝕余量的概念 是指在水泵進口處,單位重力的水所具有的大于飽和蒸汽壓力的富余能量,以米水柱表示。(NPSH)是表示軸流泵、立式混流泵、鍋爐給水泵吸水性能的。
(2)臨界汽蝕余量(NPSH)a 是指泵內低壓力點的壓力為飽和蒸汽壓力時,水泵進口處的汽蝕余量。臨界汽蝕余量為泵內發生汽蝕的臨界條件。
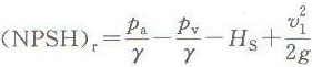
(3)必需汽蝕余量(NPSH)r 泵類產品樣本中所提供的汽蝕余量是臨界汽蝕余量。為了保證水泵正常工作時不發生汽蝕,將臨界汽蝕余量適當加大,即為必需汽蝕余量。其計算式為:(NPSH)r=(NPSH)a+0.3m
對于大型泵,一方面(NPSH)a較大,另一方面從模型試驗換算到原型泵時,由于比例效應的影響,0.3m的安全值尚嫌小,(NPSH)r可采用下式計算:(NPSH)r=(1.1~1.3)(NPSH)a
3、允許吸上真空高度和汽蝕余量的關系


上兩式中
——安裝水泵處的大氣壓力水頭,m,與海拔高度有關,見表一;
——飽和蒸汽壓力水頭,m,與水溫有關,見表二;
——水泵進口處的流速水頭,m。
不同海拔高程大氣壓力值
|
海拔高程(m) |
0 |
100 |
200 |
300 |
400 |
500 |
600 |
700 |
800 |
900 |
1000 |
2000 |
3000 |
4000 |
5000 |
|
|
10.33 |
10.22 |
10.11 |
9.97 |
9.89 |
9.77 |
9.66 |
9.55 |
9.44 |
9.33 |
9.22 |
8.11 |
7.47 |
6.52 |
5.57 |
水溫與飽和蒸汽壓力的關系
|
水溫(℃) |
0 |
5 |
10 |
20 |
30 |
40 |
50 |
60 |
70 |
80 |
90 |
100 |
|
|
0.06 |
0.09 |
0.12 |
0.24 |
0.43 |
0.75 |
1.25 |
2.02 |
3.17 |
4.82 |
7.14 |
10..33 |
- 臥式螺桿泵工作方式及水平輸送優勢對比
- 自吸螺桿泵特點及自吸原理解析與使用注意事項
- 立式螺桿泵運行原理及垂直安裝的優點評述
- 水噴射泵在工業領域中的應用案例與優勢展示
- 化工泵廠家的產品研發實力和技術創新能力評述
- G型螺桿泵特點與適用領域探討
- 漩渦泵工作原理及不同類型泵的比較
- 高溫化工泵的設計特點及耐熱性能評估
- 無極調速螺桿泵技術特點與流體輸送效率優化策略分析
- 噴射真空泵工作原理及氣體排放效率研究
- 人防手搖泵功能特點及緊急情況下的應用考量
- 濃硫酸管道泵的設計原理與材料選型探究
- GS型手搖泵在液體輸送中的效率優勢和維護方法介紹
- 單級漩渦泵的結構設計和運行特性解析
- 防爆油桶泵安全等級標準及防護機制探討
- 計量油泵的準確性與計量標準解讀